여러 동물의 눈과 사람의 눈을 비교해보면 사람의 눈만 흰자위, 그러니까 공막과 눈동자(홍채+동공)의 시각적 대비가 눈에 띕니다. 사람의 공막은 아주 희고, 수평 방향으로 넓은 형태로 되어있어서 공막의 많은 부분이 노출되어 있습니다. 그리고 공막의 멜라닌 세포는 안구의 앞쪽 절반에는 거의 존재하지 않습니다.
어느 동물의 눈을 살펴봐도 이런 특징을 보이지 않는데, 일반적인 동물과 사람이 확연히 다른 점입니다. 이런 특징 때문에 사람의 눈만 쳐다보면 그 사람의 시선이 어디를 향하는지 쉽게 알 수 있습니다. 여기서 주제의 의문이 생깁니다. 왜 사람의 눈만 흰자위가 잘 보이도록 설계된 걸까요?
먼저 2005년 네이처(nature)지에 실린 랄프 아돌프(Ralph Adolphs) 연구팀의 논문을 보겠습니다. 연구팀은 사람이 상대방이 느끼는 공포의 감정을 인식할 때 눈을 통해 아주 많은 정보를 얻는다고 합니다.

위 그림을 보면 윗줄은 공포에 질린 표정이고, 아랫줄은 웃고 있는 표정입니다. 이 그림에서 A행은 눈과 입을 모두 표시하고, B행은 입만, C행은 눈만 표시하여 실험을 진행했습니다.

실험의 대상은 감정 중추인 양쪽 편도체가 손상된 희귀 환자로 상대의 감정을 인식하는 능력이 매우 떨어집니다. 이들에게 다양한 감정을 표현하는 얼굴을 쳐다보라고 했을 때 눈을 쳐다보는 경향(*주로 코를 쳐다봄)이 일반인과 비교했을 때 많이 부족했습니다.
그래도 이들은 얼굴이 어떠한 감정을 표현하는지 인식하는 것에는 문제가 없었는데, 유독 공포의 감정만큼은 잘 인식하질 못했습니다. 그런데 연구팀이 눈을 쳐다보라고 지시하자 공포의 감정을 인식하는 능력이 일반인만큼 회복했습니다.

이는 글이나 사회·문화적 습득이 이루어지지 않은 7개월 된 영아를 통해서도 확인할 수 있었는데, 2014년 미국국립과학원회보(Proceedings of the National Academy of Sciences (PNAS))에 실린 논문을 보겠습니다.
해당 논문에서는 공포에 질린 표정과 일반적인 표정을 영아들에게 보여주고, 표정 없이 공막의 움직임과 공막 주변의 음영 차이에 따라 어떠한 변화를 보이는지 뇌파를 통해 측정한 실험입니다.

위 그림에서 왼쪽은 공포에 질린 표정이고, 오른쪽은 일반적인 표정인데, 입 없이 눈만 표시했고, 아랫줄은 공막과 동공의 음영을 반전시켜놓았습니다.
뇌파의 반응을 보면 영아들은 공막만으로도 공포에 질린 표정을 잘 인식했고, 시선 처리에 따른 반응도 잘 인식했습니다. 즉, 무의식적인 상황에서도 상대방이 공포에 질린 표정을 잘 인식할 수 있다는 겁니다.

이 결과들이 의미하는 바가 무엇일까요? 내 주변 사람이 공포의 감정을 느낀다는 것은 나에게도 위험이 닥칠 수 있다는 의미입니다. 별다른 말 없이 서로 눈만 쳐다봐도 위급 상황에 빠르게 대비할 수 있다면 사회적 반응을 통해 생존 확률을 높일 수 있기에 흰자위가 잘 보이는 것이 아주 중요한 역할을 한다고 볼 수 있습니다.
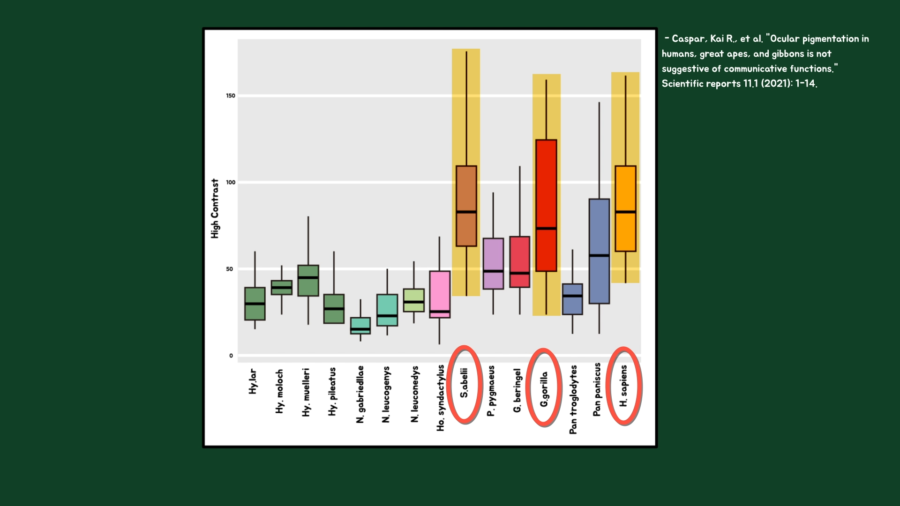
이외의 논문에서도 사람의 공막과 눈동자(홍채+동공)의 시각적 대비가 눈에 띄는 이유를 사회적 반응을 쉽게 인지하기 위함이라는 주장이 무수히 많습니다. 그러면 이러한 특징을 가지는 다른 동물은 없을까요?

위 그래프를 보면 오랑우탄(Pongo abelii)과 고릴라(Gorilla gorilla), 사람(Homo sapiens)은 공막과 동공의 색조 차이가 거의 비슷한 수준으로 크다는 사실을 알 수 있습니다.
이를 통해 알 수 있는 사실은 사회성이 뛰어나고 지능이 발달한 동물에서 눈동자의 움직임을 쉽게 알아차릴 수 있는 특징을 가지고 있다는 겁니다.
많은 연구에서 사회적 의사소통이 사냥이나 생존에 유리하다는 가설이 정설처럼 존재하는데, 사람 눈에서 흰자위가 잘 보이는 이유도 사회적 의사소통에 도움이 되기 때문이라고 볼 수 있습니다. 궁금증이 해결되셨나요?
– 원고 투고 : 안과전문의 전제휘님
Copyright. 사물궁이 잡학지식. All rights reserved